10年专注广西考研培训

欢迎来到广西嘟成考研官网!

保护一志愿?广西民族大学全日制MPA,2023考研考研难度及复试调剂情况分析!

533
发表时间:2023-06-05 10:00

广西文都,懂广西考研,更懂你!在这个浮躁的时代,我们坚持深耕考研行业,为考研学子提供有价值的信息和服务。关注我们,在混杂斑驳的信息世界中,找到方向、独立思考,与优质内容砥砺同行。


毕业多年,想不放弃工作,又读全日制研究生?广西有没有相对好考的院校推荐?一起来广西民族大学MPA最新的考研复试录取情况!


广西民族大学是国家民族事务委员会和广西壮族自治区人民政府共建高校、“十二五”时期广西壮族自治区重点建设高校。广西民族大学是全国第五批MPA培养单位,于2010年获得授权,2015年以优异成绩通过专项评估。MPA授权点所在学院政治与公共管理学院拥有从学士、硕士到博士完整的人才培养体系,拥有民族地区公共管理二级学科博士点,政治学和公共管理学两个一级学科硕士学位授权点。其中,公共管理设公共管理学术型硕士学位点和公共管理硕士(MPA)专业学位硕士点。2023年面向全国招收公共管理硕士(MPA双证)全日制研究生。

广西民族大学公共管理硕士(MPA)培养特色:秉承“民族性、区域性、国际性”的办学特色,依托承办学院的学科和专业优势,我校MPA教育形成了具有自己特色的培养模式。

(一)凸显民族特色的专业方向。为服务于地方经济社会协调发展,设置了紧密结合地方经济社会发展需要的地方治理与民族地区行政管理、公共组织与人力资源管理、劳动与社会保障、城市管理和公共部门危机管理五个专业方向。

(二)服务区域发展的培养目标。致力于为民族地区政府部门及非政府公共机构培养熟悉民族地区公共管理实践及动态,拥有合理知识结构、较高管理和沟通能力的高层次复合型人才。

(三)体现国际合作的办学模式。采用国际化、信息化的培养模式,全日制研究生与东盟国家研究生同课堂上课,互相交流,突出国际交流在公共管理教育中的重要地位,强化能力素质的培养。

(四)享受学术型硕士同等治学条件。MPA研究生在师资、住宿、图书借阅等方面享受与学术型硕士同等待遇,参加大学英语四、六级及全国计算机等级考试等

(五)集中授课模式。MPA标准学制为三年,第一第二学年每学期集中授课一次,每次授课时长为一个月左右,开课月份视具体情况而定,一般提前一个月左右公布当期开课时间。第三学年主要撰写硕士论文。我院授课地点位于广西民族大学相思湖校区。


001 专业目录

报考条件:

(一)中华人民共和国公民。

(二)拥护中国共产党的领导,品德良好,遵纪守法。

(三)身体健康状况符合国家和招生单位规定的体检要求。

(四)考生学业水平必须符合下列条件之一:

1.大学本科毕业后有3年以上工作经验的人员;

2.获得硕士学位或博士学位后有2年以上工作经验的人员。

3.公共管理(MPA)只招收定向就业类别考生,不招收非定向就业类别考生。

PS:广西民族大学2023考研MPA是只接受定向考生报考的,而且学费也已经由原来的13000元/年,涨至14950元/年了。


002 上线情况

2023考研已经落下帷幕,接下来让我们看看2023考研的一志愿上线及录取情况!

1、一志愿上线情况

2、一志愿录取情况

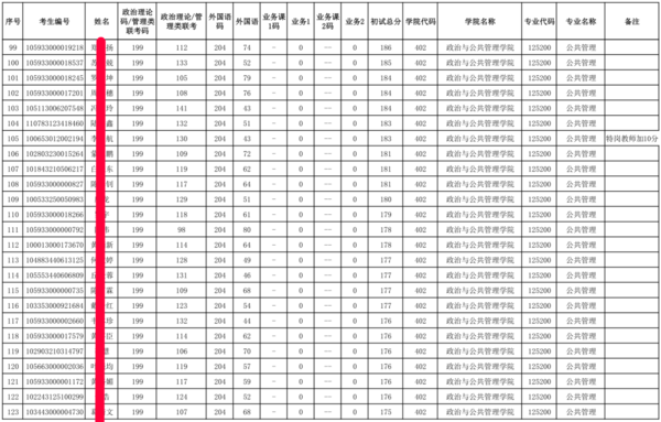
从2023考研广西民族大学MPA一志愿上线复试及录取名单中,可以看出:2023考研MPA一志愿上线人数为77人,录取72人(缺考5人)。也就是说,一志愿上线并参加复试的考生全部录取

而且,广西民族大学MPA历年都是只要过二区国家线就可以进入复试,非常好上岸。



003 调剂情况

接下来,继续看看调剂的情况?想要把广西民族大学作为调剂的备选,难度又如何呢?

1、调剂复试名单

2、调剂录取名单

调剂方面,2023考研广西民族大学MPA调剂进入面试是58人,而录取是录取了32人,调剂考生的录取率为55.17%。调剂的录取分数并不高,录取最低是174分。想要了解更多广西地区考研信息、课程?联系我们,获取1对1咨询、指导!电话:15677138016(微信同号)


004 报考建议

广西民族大学全日制公共管理(MPA)2023考研虽然录取人数较往年有所减少,但是招生的人数依旧非常多!而且,对一志愿友好,在一志愿上线人数不足的情况下,只要过线基本上都不会被刷。最重要是初试只需要考两门(管综+英语二)、地处南宁、集中上课。对于已经工作多年,又想读个全日制研究生的考生来说,是个非常不错的选择。

当然,现在MPA的竞争也越来越激烈,国家线这两年都在上涨。同时,以往极少人上线的广西民大,现在上线的人数也在不断暴增。所以,仍然需要我们认真准备。在职考研时间分散、知识遗忘多,没有系统的指导。如果在备考过程中没有方向,都可以找我们寻求帮助。广西文都考研有着专业的MBA/MPA初试以及复试方的辅导培训经验,能给每位同学带来专业的指导


[公众号:南宁文都考研]以上内容整理自广西民族大学招生信息,仅供学习分享,如有误差/侵权,请联系本公众号进行修改与删除,谢谢!

分享到: